Türkiye İstatistik Kurumu (TÜİK), eylül ayı enflasyonunu bugün açıkladı.
Tüketici Fiyat Endeksi, Ağustos ayında yüzde 2,47; yıllık bazda ise 51,97 olarak açıklanmıştı. Yıllık çekirdek enflasyon ise yüzde 51,56 olarak belirlenmişti.
EYLÜL AYI ENFLASYONU AÇIKLANDI!
TÜİK'in verilerine göre, aylık bazda enflasyon yüzde 2,97 yıllık bazda ise yıllık 49,38 oldu. TÜİK'in açıklamasına göre, en fazla artış eğitim alanında yüzde 14,21 oranı ile eğitim oldu.
EN FAZLA HARCAMA EĞİTİM ALANINDA OLDU
TÜİK'in açıklamasına göre, en fazla artış eğitim alanında yüzde 14,21 oranı ile eğitim oldu.
Eylül ayında temel başlığın endeksinde düşüş gerçekleşirken, 6 temel başlığın endeksinde değişim olmadı. 110 temel başlığın endeksinde ise artış gerçekleşti.
İşlenmemiş gıda ürünleri, enerji, alkollü içkiler ve tütün ile altın hariç TÜFE'deki değişim, 2024 yılı Eylül ayında bir önceki aya göre yüzde 3,22, bir önceki yılın Aralık ayına göre yüzde 36,44, bir önceki yılın aynı ayına göre yüzde 48,23 ve on iki aylık ortalamalara göre yüzde 64,74 olarak gerçekleşti.
Böylece yıllık enflasyon Temmuz 2021'den bu yana ilk kez politika faizinin altına inmiş oldu.
ÇEKİRDEK ENFLASYONDA YAVAŞLAMA
Yıllık çekirdek enflasyon tarafında Eylül'de yavaşlama devam etti. TÜİK verilerine göre yıllık çekirdek enflasyon yüzde 49,10 olarak kaydedildi.
EKONOMİSTLERİN BEKLENTİLERİ
Tüketici Fiyatları Endeksi'nin (TÜFE) eylül ayında nispeten yavaşlayarak aylık yüzde 2,2 artması bekleniyordu.
Yıllık enflasyonun da yüzde 48,3 seviyesine inmesi öngörülüyordu.
Ekonomistlerin yıl sonu enflasyon beklentisi ise yüzde 42-43 civarında şekilleniyor.
MAAŞLARI NE KADAR ZAMLANACAK?
Emekli ve memurlar her yıl 6 ayda bir kez zam alıyorlar. SSK ve Bağ-Kur emekli zammı 6 aylık enflasyon kadar artarken, memur ve memur emekli zammı da enflasyon farkına ilaveten toplu sözleşme ile artıyor. Bu kapsamda Temmuz 2024 SSK ve Bağ-Kur emekli zammı yüzde 24,71 olarak açıklanmıştı. Memur zammı enflasyon farkı ve toplu sözleşme dahil Temmuz ayında yüzde 19,31 olmuştu. 10 bin TL olan en düşük emekli maaşı da 12.500 liraya yükseltilmişti.
3 AYLIK ZAM ORANI İLE SSK VE BAĞ-KUR EMEKLİ MAAŞI TABLOSU ŞÖYLE DEĞİŞTİ
• Bağ-Kur (Esnaf) - 12.695 TL - 13.827 TL'yi
• Bağ-Kur (Tarım) - 10.089 TL - 10.989 TL'yi
• SSK (2000 öncesi) - 14.178 TL -15.442 TL'yi
• SSK (2000 sonrası) - 8.789 TL – 9.572'yi garantiledi.
EN DÜŞÜK EMEKLİ MAAŞI NE OLUR?
En düşük emekli maaşı Ocak ayında yeniden değerlendirilecek. Yüzde 25 artış ile 10 bin liradan 12.500 liraya yükseltilen en düşük emekli aylığı için Ocak 2025 döneminde hükümetin masasında 14-15 bin TL rakamının bulunduğu ifade ediliyor.
MEMUR MAAŞLARINA NE KADAR ZAM GELECEK?
Ekim, Kasım ve Aralık ayı enflasyon verilerinin açıklanmasıyla memur ve memur emeklilerin alacağı zam oranı da netleşmiş olacak. Memur ve memur emeklileri toplu sözleşme zammına ek olarak enflasyon farkı alıyorlar.
Memur zammı enflasyon farkı oluşması içinse yüzde 0,99 oranında daha enflasyonun oluşması gerekiyor.
Eylül sonu itibariyle oluşan rakam yüzde 8,92'yi aşarken, memur ve memur emeklileri ocak ayında yüzde 15 de toplu sözleşme zammı alacak.
Eylül ayında yapılan Merkez Bankası Piyasa Katılımcıları Anketi'ne göre yıl sonu enflasyon beklentisi yüzde 43,31'den yüzde 43,14'e indi.
OVP'de ise enflasyon beklentileri 2024 için yüzde 33’te yüzde 41,5'e çıktı. Bu kapsamda maaşlar bir kez daha hesaplandı.
YIL SONU ENFLASYON TAHMİNLERİNE GÖRE SSK VE BAĞ-KUR EMEKLİ MAAŞ TABLOSU ŞÖYLE DEĞİŞECEK (TEMMUZ 2024 – YÜZDE 13,44 OVP TAHMİNİ – YÜZDE 14,76 MERKEZ BANKASI TAHMİNİ)

MEMUR VE MEMUR EMEKLİSİ EN DÜŞÜK MAAŞ TABLOSU (TEMMUZ 2024 – YÜZDE 9,31 OVP TAHMİNİ – YÜZDE 10,59 MERKEZ BANKASI TAHMİNİ)

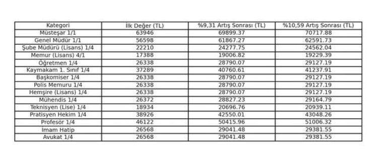
ZAMLI MEMUR MAAŞI (TEMMUZ 2024 – YÜZDE 9,31 OVP TAHMİNİ – YÜZDE 10,59 MERKEZ BANKASI TAHMİNİ)

MEMUR EMEKLİ MAAŞI (TEMMUZ 2024 – YÜZDE 9,31 OVP TAHMİNİ – YÜZDE 10,59 MERKEZ BANKASI TAHMİNİ)







